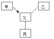
甲、乙、丙、X是初中化学常见的物质,分别属于单质、氧化物、酸、碱、盐中的不同类别,且各物质之间的关系如下图所示(图中“____”表示相连的物质间可以发生反应,“<img alt="1&
甲、乙、丙、X是初中化学常见的物质,分别属于单质、氧化物、酸、碱、盐中的不同类别,且各物质之间的关系如下图所示(图中“____”表示相连的物质间可以发生反应,“
”表示物质间存在转化关系)。
已知X是植物光合作用的气体原料,丙为黑色固体。

(1)X的名称为_______;丙物质的化学式为_______。
(2)若甲与X的组成中不含相同的元素,且甲能与乙发生反应,该反应的化学方程式为___________。
【答案】(1)二氧化碳;C;(2)Ca(OH)2+2HCl==CaCl2+2H2O
【解析】根据题中的叙述可知X为二氧化碳、丙物质为碳单质、甲物质为酸、乙物质为碱氢氧化钙等,故(1)X的名称为二氧化碳;丙物质的化学式为C;(2)若甲与X的组成中不含相同的元素,且甲能与乙发生反应,该反应的化学方程式为Ca(OH)2+2HCl==CaCl2+2H2O等。
版权声明
声明:有的资源均来自网络转载,版权归原作者所有,如有侵犯到您的权益
请联系本站我们将配合处理!
