某班男生与女生各一组进行古诗词默写比赛,两组每个同学得分的茎叶图如图所示,男生组和女生组得分的平均数分别为<img alt="1" src="/tk/2021051
某班男生与女生各一组进行古诗词默写比赛,两组每个同学得分的茎叶图如图所示,男生组和女生组得分的平均数分别为
,标准差分别为
、
,则( )

A.
B. 
C.
D. 
D
【解析】根据茎叶图中的数据,求出甲、乙的平均数和方差,得出标准差,通过比较可以得出答案。
根据茎叶图中的数据,得;
甲的平均数是
,
乙的平均数是
;
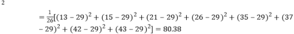
甲的方差是s1
,
标准差是
;
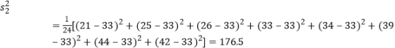
乙的方差是
,
标准差是
;
,
.
故选:D.
版权声明
声明:有的资源均来自网络转载,版权归原作者所有,如有侵犯到您的权益
请联系本站我们将配合处理!
