某活动小组利用下图装置验证NO的还原性及探究工业生产硝酸的原理.

(1)如何检查该装置气密性______ .
(2)向广口瓶①中通入NO并测定NO的体积
通入NO前,向广口瓶①中加入水,让水充满广口瓶①,且调节滴定管中液面与①相平并记录滴定管的刻度.
从导管a通入一定量的NO并准确测定通入NO的体积的主要操作:______;计算出通入的NO的体积为VmL(V<50mL).
(3)验证NO的还原性;探究工业生产硝酸的原理
A、停止通入NO后关闭K1、K3 , 打开K2 , 从导管b缓缓通入O2 , 写出通入O2过程中发生的化学反应方程式______;
B、继续通入O2 , 打开K3并及时调整滴定管③液面与广口瓶①中液面相平.
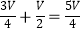
Ⅰ.当通入氧气的体积为
时,则广口瓶①的气体体积为______;
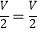
Ⅱ.当广口瓶①的气体体积为
,则通入氧气的体积可能为______ .
(1)关闭K1、K2 , 打开K3 , 从滴定管上口加水,没过广口瓶①中长导管口,继续加水,使广口瓶①中长导管内外出现一段液柱,停止加水,静置一段时间后,若这段液柱不变,说明装置气密性好,反之,说明装置气密性不好
(2)关闭K2 , 打开K3 , K1 , 通入一定量的NO并调整滴定管液面与①中液面相平,再次读取滴定管刻度
(3)2NO+O2=2NO2;3NO2+H2O=2HNO3+NO;
;
解:(1)关闭K1、K2 , 打开K3 , 从滴定管上口加水,没过广口瓶①中长导管口,继续加水,使广口瓶①中长导管内外出现一段液柱,停止加水,静置一段时间后,若这段液柱不变,说明装置气密性好,反之,说明装置气密性不好,所以答案是:关闭K1、K2 , 打开K3 , 从滴定管上口加水,没过广口瓶①中长导管口,继续加水,使广口瓶①中长导管内外出现一段液柱,停止加水,静置一段时间后,若这段液柱不变,说明装置气密性好,反之,说明装置气密性不好;(2)广口瓶①中压强均与外界相同,通过调节两端液面,到两端高度相同时再读取体积.具体操作为:关闭K2 , 打开K3 , K1 , 通入NO并调整滴定管液面与①中液面相平,再次记录滴定管刻度,所以答案是:关闭K2 , 打开K3 , K1 , 通入一定量的NO并调整滴定管液面与①中液面相平,再次读取滴定管刻度;(3)A、NO易与氧气反应2NO+O2═2NO2 生成红棕色的NO2 , NO2又与水反应3NO2+H2O═2HNO3+NO,颜色变浅,所以答案是:2NO+O2=2NO2;3NO2+H2O=2HNO3+NO;B、Ⅰ.设
的氧气参加反应时,需要一氧化氮的体积为x,
4NO+3O2+2H2O═4HNO3
4 3
x
所以x=
<V,所以一氧化氮剩余,剩余的一氧化氮为V﹣
,
所以答案是:
;
Ⅱ.剩余的气体可能是氧气或一氧化氮,
①当剩余的气体为氧气时,一氧化氮不足量,以一氧化氮为标准进行金属,
设参加反应的氧气为Y,
4NO+3O2+2H2O═4HNO3
4 3
V Y
Y=
,
所以通入的氧气体积为
,
②当剩余的气体为一氧化氮时,氧气的量不足,以氧气的量为标准进行计算,
参加反应的一氧化氮为V﹣
,
设参加反应的氧气为Z,
4NO+3O2+2H2O═4HNO3
4 3
Z
Z= 
所以答案是:
.
版权声明
声明:有的资源均来自网络转载,版权归原作者所有,如有侵犯到您的权益
请联系本站我们将配合处理!
