某同学用图甲所示的器材做“探究功与速度变化的关系”的实验。如图甲所示,小车在一条橡皮筋作用下弹出,沿木板滑行,这时橡皮筋对小车做的功计为W,当用2条、3条……完全相同的橡皮筋并在一起进行第2次,第3次
某同学用图甲所示的器材做“探究功与速度变化的关系”的实验。如图甲所示,小车在一条橡皮筋作用下弹出,沿木板滑行,这时橡皮筋对小车做的功计为W,当用2条、3条……完全相同的橡皮筋并在一起进行第2次,第3次……筋实验时,使每次实验中橡皮筋伸长的长度都保持一致,小车速度可由速度传感器测出,并经电脑处理后得出如图乙所示的一一对应的
图象,由图象可以读出每次实验时小车获得的最大速度并记入表中。


(1)表中“X”处的数值应该是______。
(2)从表格中可以得出,合力的功W与速度
的关系是______。
(3)在作
图象时,由于实际操作过程中木板的倾角调整不当,造成实际图线与理想图线(图中虚线)存在差异,则作出的
图象可能是图中的________。
A.
B.
C.
D.
2.00
AD
(1)由乙图可知X=2.00;(2)由表中数据可得
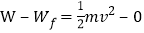
;(3)若倾角较小,根据动能定理:
,所以A图正确,若倾角较大,平衡摩擦过度,
,D图正确。
版权声明
声明:有的资源均来自网络转载,版权归原作者所有,如有侵犯到您的权益
请联系本站我们将配合处理!
