某兴趣小组的同学用如图所示装置研究有关电化学的问题(甲、乙、丙三池中的溶质足量),当闭合该装置的电键K时,观察到电流表的指针发生了偏转. <img alt="1" src=&
某兴趣小组的同学用如图所示装置研究有关电化学的问题(甲、乙、丙三池中的溶质足量),当闭合该装置的电键K时,观察到电流表的指针发生了偏转. 
请回答下列问题:
(1)甲池为______(填“原电池”、“电解池”或“电镀池”),A电极的电极反应式为______ .
(2)丙池中F电极为______(填“正极”、“负极”、“阴极”或“阳极”),该池总反应的化学方程式为______ .
(3)当乙池中C极质量减轻4.32g时,甲池中B电极理论上消耗O2的体积为______mL(标准状况).
(4)一段时间后,断开电键K.下列物质能使乙池恢复到反应前浓度的是____________(填字母).
A.Cu
B.CuO
C.Cu(OH)2
D.Cu2(OH)2CO3 .
【答案】(1)原电池;CH3OH+8OH﹣﹣6e﹣═CO32﹣+6H2O
(2)阴极;2CuSO4+2H2O
2H2SO4+2Cu+O2↑
(3)224
(4)A
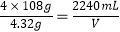
【解析】4Ag
~
O2
4×108g
22400mL
4.32g
V
所以
,解之得:V=224mL,所以答案是:224;(4)甲池为燃料电池,A为负极,B为正极,则乙中C为阳极,D为阴极,阳极上Ag失电子生成银离子,阴极上铜离子得电子生成Cu,溶液中减少了Cu元素的质量,所以要让电解质复原,需要加入金属铜,故选:A.
版权声明
声明:有的资源均来自网络转载,版权归原作者所有,如有侵犯到您的权益
请联系本站我们将配合处理!
