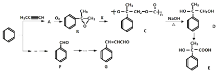
某研究小组以苯为主要原料,采用以下合成路线合成医药中间体G和可降解聚合物C.
已知:2CH3CHO
CH2CH(OH)CH2CHO
CH2CH=CHCHO

(1)写出X的结构式______
(2)对于高分子化合物C的说法正确的是____________ . (填序号)
A.1molC能与2n molNaOH反应
B.(C9H8O3)n既是高分子化合物C的化学式,也是链节的化学式
C.高分子化合物C是缩聚产物
D.酸性条件下降解时有气泡产生
(3)在一定条件下,E可以生成一种含有3个六元环的化合物(C18H16O4),请写出该反应的化学方程式______
(4)写出符合要求的G的同分异构体(含有
的有机物不能稳定存在)______
a.遇FeCl3溶液显紫色b.能与Br2按1:2发生加成反应 c.苯环上只有两种等效氢
(5)根据题目所给信息,以F和乙烯为原料,设计合成G的反应路线(用流程图表示,无机试剂任选).
例:CH3CH2OH
H2C=CH 
______
(1)
(2)AD
(3)
(4)
(5)
或 
解:苯和CH3C≡CH发生加成反应生成A,A又被氧气氧化生成B,B与X发生聚合反应生成C,由B、C的结构简式,则可以推测处X结构简式为
,C在NaOH条件下水解生成D,D在进一步氧化生成E;由信息反应可知F与CH3CHO先加成后消去生成G,(1)通过以上分析知,X的结构式为
,所以答案是:
;(2)A.根据C的结构简式可知,1个结构单元含2个羧基,所以1molC能与2n molNaOH反应,故A正确;B.(C10H10O3)n既是高分子化合物C的化学式,C10H10O3是链节的化学式,故B错误;
C.高分子化合物C是B与X发生加聚反应的产物,故C错误;
D.酸性条件下降解生成碳酸,碳酸不稳定分解生成二氧化碳气体,所以有气泡产生,故D正确;
故选:AD;(3)由E的结构简式及产物六元环的化合物分子式(C18H16O4)可知,2分子E可以酯化反应生成一种含有3个六元环的化合物(C18H16O4),该反应的化学方程式为
,所以答案是:
;(4)a.遇FeCl3溶液显紫色,说明含有酚羟基 b.能与Br2按1:2发生加成反应,由苯环外共3个碳原子,则说明含有一个碳碳叁键 c.苯环上只有两种等效氢,说明为对位结构,则符合条件的G的同分异构体为
,所以答案是:
;(5)由信息反应可知F与CH3CHO先加成后消去生成G,所以CH3CHO则由CH2=CH2先与水发生加成反应生成CH3CH2OH,CH3CH2OH在催化氧化生成CH3CHO,或者CH3CHO则由CH2=CH2被氧气氧化直接生成CH3CHO,所以合成G的反应流程为:
或 
所以答案是:
或
.
版权声明
声明:有的资源均来自网络转载,版权归原作者所有,如有侵犯到您的权益
请联系本站我们将配合处理!
