利用下图装置做“验证机械能守恒定律”实验。

①为验证机械能是否守恒,需要比较重物下落过程中任意两点间的_____。
A.动能变化量与势能变化量
B.速度变化量和势能变化量
C.速度变化量和高度变化量
②除带夹子的重物、纸带、铁架台(含铁夹)、电磁打点计时器、导线及开关外,在下列器材中,还必须使用的两种器材是____。
A.交流电源 B.刻度尺 C.天平(含砝码)
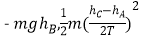
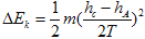
③实验中,先接通电源,再释放重物,得到下图所示的一条纸带。在纸带上选取三个连续打出的点A、B、C,测得它们到起始点O的距离分别为hA、hB、hC。已知当地重力加速度为g,打点计时器打点的周期为T。设重物的质量为m。从打O点到打B点的过程中,重物的重力势能变化量
=_____,动能变化量
=_____。

④ 大多数学生的实验结果显示,重力势能的减少量大于动能的增加量,原因是____。
A.利用公式
计算重物速度
B.利用公式
计算重物速度
C.存在空气阻力和摩擦阻力的影响
D.没有采用多次实验取平均值的方法
【答案】①A ②AB ③
④C
(1)为验证机械能是否守恒,需要比较重物下落过程中任意两点间动能的增加量和重力势能的减小量是否相等,故选项A正确。
(2)打点计时器使用交流电源,实验中需要测量点迹间的距离,从而得出瞬时速度和下降的高度,所以需要刻度尺.实验中验证动能的增加量和重力势能的减小量是否相等,质量可以约去,不需要测量质量,则不需要天平,故选项AB正确。
(3)从打O点到打B点的过程中,重物的重力势能变化量
,B点的速度
,则动能的增加量为
。
(4)由于纸带在下落过程中,重锤和空气之间存在阻力,纸带和打点计时器之间存在摩擦力,所以减小的重力势能一部分转化为动能,还有一部分要克服空气阻力和摩擦力阻力做功,故重力势能的减少量大于动能的增加量,故C选项正确;
版权声明
声明:有的资源均来自网络转载,版权归原作者所有,如有侵犯到您的权益
请联系本站我们将配合处理!
