木箱的质量为<img alt="1" src="/tk/20210512/1620749486009.png"/>,放在水平地面上,在<img
木箱的质量为
,放在水平地面上,在
的水平拉力作用下从静止开始运动,经时间
,滑动的距离为
。求:

(1)木块运动的加速度a大小;
(2)摩擦力
的大小;
(3)若拉力从静止开始作用
后撤去,木块还能滑行的距离
。
(1)
;(2)
;(3)
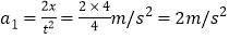
(1)根据
得,
。
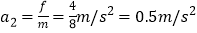
(2)根据牛顿第二定律得,
,则
。
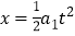
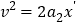
(3)
末的速度
,撤去外力后,加速度的大小
,由
得,
。
版权声明
声明:有的资源均来自网络转载,版权归原作者所有,如有侵犯到您的权益
请联系本站我们将配合处理!
