平板车停在水平光滑的轨道上,平板车上的人从固定在车上的货厢边沿水平方向顺着轨道方向跳出,落在平板车地板上的A点,A点距货厢的水平距离为L=4m,如图所示,人的质量为m,车连同货厢的质量为M=4m,货厢
平板车停在水平光滑的轨道上,平板车上的人从固定在车上的货厢边沿水平方向顺着轨道方向跳出,落在平板车地板上的A点,A点距货厢的水平距离为L=4m,如图所示,人的质量为m,车连同货厢的质量为M=4m,货厢高度为h=1.25m,求:

(1)在人跳出后到落到地板过程中车的反冲速度.
(2)人落在平板车地板上并站稳以后,车还运动吗?车在地面上移动的位移是多少?
【答案】(1)
(2)s2=0.8m
(1)人跳出过程,人与车组成的系统动量守恒,人跳出后做平抛运动,应用平抛运动规律与动量守恒定律可以求出车的速度.(2)人与车组成的系统动量守恒,由动量守恒定律可以求出车的速度,然后分析答题.
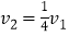
(1)人从货厢边跳离的过程,系统(人、车和货厢)的动量守恒,设人的水平速度是
,车的反冲速度是
,则
,
,方向向左.
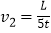
人跳离货厢后做平抛运动,车以速度
做匀速直线运动,运动时间为
在这段时间内人的水平位移
和车的水平位移s2分别为s1=v1t,s2=v2t.
由图可知
,即
,
将
代入得
则
(2)人落到车上A点的过程,系统水平方向的动量守恒(水平方向系统不受外力,而竖直方向支持力大于重力,合力不为零),人落到车上前的水平速度仍为
,车的速度为
,落到车上后设它们的共同速度为v,
根据水平方向动量守恒,得
,
则
.故人落到车上A点并站稳后车的速度为零.
所以,车在地面上的位移仅仅是在人从跳离货厢到落至车地板的过程中车发生的位移,
即
.
版权声明
声明:有的资源均来自网络转载,版权归原作者所有,如有侵犯到您的权益
请联系本站我们将配合处理!
