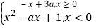
若函数f(x)=<img alt="1" src="/tk/20210512/1620761437472.png"/>是(-∞,+∞)上的减函数,则
若函数f(x)=
是(-∞,+∞)上的减函数,则实数a的取值范围______.

既然f(x)在R上是减函数,根据x<0时解析式为f(x)=x2-ax+1,其过定点(0,1),且x<0时是减函数,所以对称轴x=
≥0,又x≤0时,解析式为f(x)=-x+3a,x≥0时是减函数,所以3a≤1,解答即可.
由题意,∵f(x)在R上是减函数,
∴x<0时f(x)=x2-ax+1,其过定点(0,1),且x<0时是减函数,
∴对称轴x=
≥0,①
又∵x≥0时,f(x)=-x+3a,是减函数,且在R上是减函数,
∴3a≤1,②
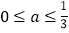
又①②得0≤a≤
.
版权声明
声明:有的资源均来自网络转载,版权归原作者所有,如有侵犯到您的权益
请联系本站我们将配合处理!
