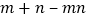
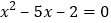
若m、n是一元二次方程<img alt="1" src="/tk/20210512/1620768859582.png"/>的两个实数根,则<
若m、n是一元二次方程
的两个实数根,则
的值是
A.
B. 7 C. 3 D. 
B
【解析】根据一元二次方程根与系数的关系,可知m+n=5,mn=-2,所以m+n-mm=5-(-2)=7.
故选:B.
版权声明
声明:有的资源均来自网络转载,版权归原作者所有,如有侵犯到您的权益
请联系本站我们将配合处理!
若m、n是一元二次方程
的两个实数根,则
的值是
A.
B. 7 C. 3 D. 
B
【解析】根据一元二次方程根与系数的关系,可知m+n=5,mn=-2,所以m+n-mm=5-(-2)=7.
故选:B.
声明:有的资源均来自网络转载,版权归原作者所有,如有侵犯到您的权益
请联系本站我们将配合处理!