如图,∠A=30°,点E在射线AB上,且AE=10,动点C在射线AD上,求出当△AEC为等腰三角形时AC的长.

或10或
分三种情况进行讨论.
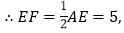
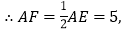
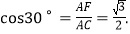
①若
过点
作
于F.





②若


③若
过点
作
于F.





版权声明
声明:有的资源均来自网络转载,版权归原作者所有,如有侵犯到您的权益
请联系本站我们将配合处理!
如图,∠A=30°,点E在射线AB上,且AE=10,动点C在射线AD上,求出当△AEC为等腰三角形时AC的长.

或10或
分三种情况进行讨论.
①若
过点
作
于F.





②若


③若
过点
作
于F.





声明:有的资源均来自网络转载,版权归原作者所有,如有侵犯到您的权益
请联系本站我们将配合处理!