如图所示,地面上有一高h的平台,平台下有一倾角可调的挡板,挡板的一端与平台边缘A点的正下方B点重合。将一个可视为质点的小球以v的速度水平推出。适当调节挡板的倾角,小球会刚好垂直撞在挡板上。已知小球下落
如图所示,地面上有一高h的平台,平台下有一倾角可调的挡板,挡板的一端与平台边缘A点的正下方B点重合。将一个可视为质点的小球以v的速度水平推出。适当调节挡板的倾角,小球会刚好垂直撞在挡板上。已知小球下落过程中所受空气阻力忽略不计,当地重力加速度为g。求小球运动的时间是多少?

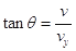
撞到挡板的速度分解,有 
且 
解得: 
由位移的关系, 


联立得t= 
解:
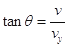
撞到挡板的速度分解,有 
且 
解得: 
由位移的关系, 


联立得t= 
【考点精析】通过灵活运用平抛运动,掌握特点:①具有水平方向的初速度;②只受重力作用,是加速度为重力加速度g的匀变速曲线运动;运动规律:平抛运动可以分解为水平方向的匀速直线运动和竖直方向的自由落体运动即可以解答此题.
版权声明
声明:有的资源均来自网络转载,版权归原作者所有,如有侵犯到您的权益
请联系本站我们将配合处理!
