如图所示,滑块在恒定外力作用下从水平轨道上的A点由静止出发到B点时撤去外力,又沿竖直面内半径为R的光滑半圆形轨道运动,通过轨道最高点C时对轨道作用力大小等于3倍的重力,滑块脱离半圆形轨道后又刚好落到原
如图所示,滑块在恒定外力作用下从水平轨道上的A点由静止出发到B点时撤去外力,又沿竖直面内半径为R的光滑半圆形轨道运动,通过轨道最高点C时对轨道作用力大小等于3倍的重力,滑块脱离半圆形轨道后又刚好落到原出发点A.
(1)试求AB段长度。
(2)若滑块除了受到重力之外还始终受到一个与圆周面平行的竖直向下的恒力作用,且恒力大小与重力相等,求:滑块恰好通过最高点C,滑块脱离半圆形轨道后落地点距A点的距离。

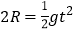
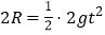
(1)
(2)
在C点,根据牛顿定律:
解得:
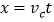
离开C点后做平抛运动,则:
;
解得: x=4R
(2)若滑块除了受到重力之外还始终受到一个与圆周面平行的竖直向下的恒力作用,且恒力大小与重力相等,则在C点:
,解得
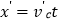
离开C点后做类平抛运动,竖直方向的加速度变为2g,则:
;
解得: x=2R
版权声明
声明:有的资源均来自网络转载,版权归原作者所有,如有侵犯到您的权益
请联系本站我们将配合处理!
