如图所示,物体从光滑斜面上的A点由静止开始下滑,经过B点进入水平面(设经过B点前后速度大小不变),最后停在C点.每隔0.2 s通过速度传感器测量物体的瞬时速度,下表给出了部分测量数据.(重力加速度g=
如图所示,物体从光滑斜面上的A点由静止开始下滑,经过B点进入水平面(设经过B点前后速度大小不变),最后停在C点.每隔0.2 s通过速度传感器测量物体的瞬时速度,下表给出了部分测量数据.(重力加速度g=10 m/s2)求:

(1)物体在AB段和在BC段的加速度a1和a2;
(2)物体在斜面上下滑的时间;
(3)物体运动到B点时的速率VB.
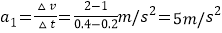
【答案】(1)
,
(2)
(3)
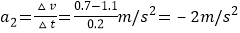
(1)物体在斜面上滑行的加速度大小
,方向沿斜面向下;在水平面上滑行的加速度大小
,方向沿水平面向左。
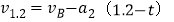
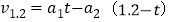
(2)研究物体由
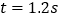
到
过程,设物体在斜面上运动的时间为
,则有:


代入得:
解得:
。
版权声明
声明:有的资源均来自网络转载,版权归原作者所有,如有侵犯到您的权益
请联系本站我们将配合处理!
