如图所示,小球a被一根长为L的可绕O轴自由转动的轻质细杆固定在其端点,同时又通过绳跨过光滑定滑轮与另一个质量为m的小球b相连,整个装置平衡时杆和绳与竖直方向的夹角均为30°.若将小球a由水平位置(杆呈
如图所示,小球a被一根长为L的可绕O轴自由转动的轻质细杆固定在其端点,同时又通过绳跨过光滑定滑轮与另一个质量为m的小球b相连,整个装置平衡时杆和绳与竖直方向的夹角均为30°.若将小球a由水平位置(杆呈水平状态)开始释放,不计摩擦,竖直绳足够长,(重力加速度为g)求:

(1)小球a的质量;
(2)当杆转动到竖直位置时,小球b的速度大小.(结果可用根式表示)
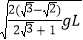
【答案】(1)
m.(2)
(1)当a球处于平衡状态时:
,
,
解得:
(2)当a球转到竖直位置时,b球上升的高度为:
设此时a球、b球的速度分别为va、vb,由速度分解可得

在整个运动过程中,机械能守恒:
解得:
版权声明
声明:有的资源均来自网络转载,版权归原作者所有,如有侵犯到您的权益
请联系本站我们将配合处理!
