如图所示,一个圆柱形的绝热容器竖直放置,通过绝热活塞封闭着摄氏温度为t1的理想气体,活塞的质量为m,横截面积为S,与容器底部相距h1.现通过电热丝给气体加热一段时间后,使其温度上升到t2(摄氏温度),
如图所示,一个圆柱形的绝热容器竖直放置,通过绝热活塞封闭着摄氏温度为t1的理想气体,活塞的质量为m,横截面积为S,与容器底部相距h1.现通过电热丝给气体加热一段时间后,使其温度上升到t2(摄氏温度),这段时间内气体吸收的热量为Q,已知大气压强为p0,重力加速度为g,假设活塞与容器壁之间无摩擦。求:

①气体的压强;
②这段时间内活塞上升的距离是多少?
③这段时间内气体的内能变化了多少?
【答案】①
②
③
①活塞受力分析如图所示:

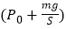
根据共点力平衡的条件,得
②设温度为t2时活塞与容器底部相距为h2.
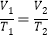
因为气体做等压变化,根据盖·吕萨克定律,得

解得:
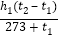
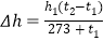
活塞上升的距离为:Δh=h2-h1=
③气体对外做功为:W=pS·Δh=
·S·
=(p0S+mg)
根据热力学第一定律,得这段时间内气体内能的变化量为:
ΔU=Q-W=Q-(p0S+mg)
版权声明
声明:有的资源均来自网络转载,版权归原作者所有,如有侵犯到您的权益
请联系本站我们将配合处理!
