如图所示,在水平方向的匀强电场中有一表面光滑、与水平面成45°角的绝缘直杆AC,其下端(C端)距地面高度h=0.8 m.有一质量为500 g的带电小环套在直杆上,正以某一速度沿杆匀速下滑,小环离开杆后
如图所示,在水平方向的匀强电场中有一表面光滑、与水平面成45°角的绝缘直杆AC,其下端(C端)距地面高度h=0.8 m.有一质量为500 g的带电小环套在直杆上,正以某一速度沿杆匀速下滑,小环离开杆后正好通过C端的正下方P点.(g取10 m/s2)求:

(1)小环离开直杆后运动的加速度大小和方向;
(2)小环在直杆上匀速运动时速度的大小;
(3)小环运动到P点的动能。
【答案】(1)14.1 m/s2方向与杆垂直斜向右下方 (2)2 m/s (3)5 J
【解析】(1)小环在直杆上做匀速运动,电场力必定水平向右,否则小环将做匀加速运动,其受力情况如图所示:

由平衡条件得:
,得:
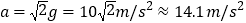
,离开直杆后,只受
作用,则合力为
,所以加速度为:
,方向与杆垂直斜向右下方;
(2)设小环在直杆上运动的速度为
,离杆后经t秒到达P点,
则竖直方向:
水平方向:
联立解得:
。
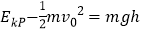
(3)由动能定理得:
可得:
。
版权声明
声明:有的资源均来自网络转载,版权归原作者所有,如有侵犯到您的权益
请联系本站我们将配合处理!
