如图所示,在xOy平面内,第Ⅲ象限内的直线OM是电场与磁场的边界,OM与负x轴成45°角。在x<0且OM的左侧空间存在着沿x轴负方向的匀强电场E,场强大小为3.2N/C;在y&l
问题描述:
| 如图所示,在xOy平面内,第Ⅲ象限内的直线OM是电场与磁场的边界,OM与负x轴成45°角。在x<0且OM的左侧空间存在着沿x轴负方向的匀强电场E,场强大小为3.2N/C;在y<0且OM的右侧空间存在着垂直纸面向里的匀强磁场B,磁感应强度大小为0.01T。一不计重力的带负电的微粒,t=0时刻从坐标原点O沿y轴负方向以v 0 =2×10 3 m/s的初速度进入磁场,最终离开电磁场区域。已知微粒的电荷量q=-5×10 -8 C,质量m=1×10 -14 kg,求: (1)带电微粒第一次经过磁场边界的位置坐标; (2)带电微粒在磁场区域运动的总时间; (3)带电微粒最终离开电、磁场区域的位置坐标。 |
|
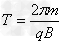
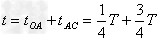
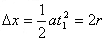
最佳答案: (1)带电微粒从O点射入磁场,运动轨迹如图所示,第一次经过磁场边界上的A点,由洛伦兹力公式和牛顿第二定律得: A点位置坐标为(-4×10 -2 m,-4×10 -2 m) (2)设带电微粒在磁场中做圆周运动的周期为 代入数据解得t=T=1.26×10 -4 s (3)微粒从C点沿y轴正方向进入电场,做类平抛运动 △y=v 0 t 1 代入数据解得△y=0.2 m y=△y-2r=(0.2-0.08)m=0.12 m 故离开电、磁场时的位置坐标为(0,0.12 m) |
版权声明
声明:有的资源均来自网络转载,版权归原作者所有,如有侵犯到您的权益
请联系本站我们将配合处理!
