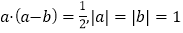
若向量<img alt="1" src="/tk/20210512/1620761554527.png"/>满足<img alt="
若向量
满足
,且
,则向量
与
的夹角为
A.
B. 
C.
D. 
B
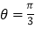
【解析】设向量
的夹角为
,由
,可得
,
解得
,根据
∈[0,π],可知
.
本题选择B选项.
版权声明
声明:有的资源均来自网络转载,版权归原作者所有,如有侵犯到您的权益
请联系本站我们将配合处理!
若向量
满足
,且
,则向量
与
的夹角为
A.
B. 
C.
D. 
B
【解析】设向量
的夹角为
,由
,可得
,
解得
,根据
∈[0,π],可知
.
本题选择B选项.
声明:有的资源均来自网络转载,版权归原作者所有,如有侵犯到您的权益
请联系本站我们将配合处理!