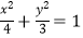
设P为椭圆<img alt="1" src="/tk/20210512/1620761643484.png"/>上的一点,<img alt=&
设P为椭圆
上的一点,
、
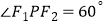
为该椭圆的两个焦点,若
,则
的面积等于( )
A.3
B.
C.2
D.2
【答案】B
【解析】椭圆的焦点三角形的面积公式
可知
.选B.
版权声明
声明:有的资源均来自网络转载,版权归原作者所有,如有侵犯到您的权益
请联系本站我们将配合处理!
设P为椭圆
上的一点,
、
为该椭圆的两个焦点,若
,则
的面积等于( )
A.3
B.
C.2
D.2
【答案】B
【解析】椭圆的焦点三角形的面积公式
可知
.选B.
声明:有的资源均来自网络转载,版权归原作者所有,如有侵犯到您的权益
请联系本站我们将配合处理!