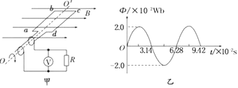
图甲为小型旋转电枢式交流发动机的原理图,其矩形线圈在匀强磁场中绕垂直于磁场方向的固定轴OO’匀速转动。线圈的匝数n=100、电阻r=10Ω,线圈的两端经集流环与电阻R连接,电阻R=90Ω,与R并联的交
图甲为小型旋转电枢式交流发动机的原理图,其矩形线圈在匀强磁场中绕垂直于磁场方向的固定轴OO’匀速转动。线圈的匝数n=100、电阻r=10Ω,线圈的两端经集流环与电阻R连接,电阻R=90Ω,与R并联的交流电压表为理想电表。在 t=0 时刻,线圈平面与磁场方向平行,穿过每匝线圈的磁通量Φ随时间t 按图乙所示正弦规律变化。求:
(1)该交流电的周期T 和磁通量的最大值фm 是多少?
(2)交流发动机产生的电动势的最大值;
(3)从甲图开始计时,写出该交流电的电动势瞬时表达式?
(4)电路中交流电压表的示数。

(1) T =6.28×10-2s;Φm= 2×10-2Wb;(2) 200V;(3) e= 200cos100t(V);(4)127V.
【解析】(1)由图可知,该交流电的周期T =6.28×10-2s
磁通量的最大值
Φm=BS=2×10-2Wb
(2) 交流发电机产生电动势的最大值
Em=nBSω

因为磁通量的最大值
Φm=BS=2×10-2Wb
则电动势的最大值
Em=nBSω=100×2×10−2×100V=200V
(3)开始时磁通量最小,则电动势最大;故表达式
e=Emcosωt=200cos100t(V);
(4) 电动势的有效值

电压表示数为

版权声明
声明:有的资源均来自网络转载,版权归原作者所有,如有侵犯到您的权益
请联系本站我们将配合处理!
