下图是合成聚碳酸酯(PC)的过程(反应条件和部分产物未写出):

信息提示:苯酚分子中与酚羟基直接相连的碳原子的邻、对位上的氢原子有很好的反应活性,易跟某些含羰基的化合物
(R、R′代表烷基或H原子)发生缩合反应生成新的有机物和水。苯酚还能发生如下反应生成有机酸酯:

请写出:
(1)X的结构简式______。
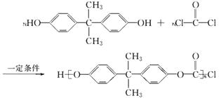
(2)在一定条件下X与
反应合成聚碳酸酯的化学方程式______。
(3)X和浓溴水反应时,1molX最多能消耗Br2______mol。
(4)与乙酸苯酚酯分子式相同,分子中含有苯环且属于酯的其他可能有机物的结构简式______。
【答案】(1)
(2)
(3)4
(4)
、
、
、
、 
(1)聚碳酸酯是由X和
缩聚而成的,由此可知,X的结构简式为
,显然X是由一分子
脱一分子水缩合而成的。(2)该缩聚反应生成的小分子是HCl。(3)X分子中只有与酚羟基直接相连的碳原子的邻位碳原子上的氢原子能被溴水中的溴取代。(4)写酯的同分异构体时要注意思维的有序性。将
移位时,可以得到苯甲酸甲酯;将—CH2—移位时,可以得到甲酸苯甲酯;将碳链缩短时,得到的甲基甲酸苯酚酯有3种。
版权声明
声明:有的资源均来自网络转载,版权归原作者所有,如有侵犯到您的权益
请联系本站我们将配合处理!
