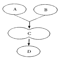
下图为细胞融合的简略过程,请据图回答:

Ⅰ、若A是番茄原生质体,B为马铃薯原生质体,为了便于杂种细胞的筛选和鉴定,科学家利用红色荧光和绿色荧光分别标记A和B膜上的蛋白质。
(1)A、B到细胞C的过程中,常用的促融剂是_______________。融合完成的标志是_____________。在鉴定杂种原生质体时可用显微镜观察,根据细胞膜表面荧光的不同可观察到______种不同的原生质体,当观察到______________________________时可判断该原生质体是由番茄细胞和马铃薯细胞融合而成的。
(2)通过植物组织培养技术把D培养成杂种植株,D个体________(填“可育”或“不育”)。此杂种植株的花粉经离体培育得到的植株属于________植株。
Ⅱ、若该图是生产抗甲型流感病毒的单克隆抗体的制备过程。图中B细胞是小鼠骨髓瘤细胞,则 A为从小鼠体内获取的________________,在获得此细胞之前,小鼠需注射______________________________,符合要求的D细胞具有的特点是______________________________。获得D后,常用的培养方法是培养液中培养和______________________________。
【答案】聚乙二醇(或PEG) 形成新的细胞壁 3 融合的细胞表面既有红色荧光又有绿色荧光 可育 单倍体 浆细胞(或B淋巴细胞) 灭活的甲流病毒 既能分泌抗甲流病毒抗体又能无限增殖 注入小鼠腹腔内培养
【解析】试题植物体细胞杂交过程,先去壁获得原生质体,然后利用物理法(离心、振动、电击)或化学法(聚乙二醇)诱导原生质体融合,融合完成的标志是形成新的细胞壁。由于原生质体融合时,有同种和异种融合,所以融合后需进行鉴定,然后再通过植物组织培养将杂种细胞培育成杂种植株,杂种植株细胞中染色体组成是两融合细胞中染色体之和,是否可育须根据杂种细胞中是否有同源染色体判断。单克隆抗体由杂交瘤细胞合成并分泌,杂交瘤细胞由已免疫的B淋巴细胞(浆细胞)和骨髓瘤细胞诱导融合形成,杂交瘤细胞具有既能产生特异性抗体又能无限增殖的能力。
Ⅰ(1)诱导原生质体融合过程中,常用的促融剂是聚乙二醇(或PEG),融合完成的标志是形成新的细胞壁。原生质体融合包括同种原生质体融合和异种原生质体融合,即AA融合、BB融合、AB融合,共3种不同的融合原生质体,由于A和B膜上的蛋白质分别用不同的红色荧光和绿色荧光标记,所以当观察到融合的细胞表面既有红色荧光又有绿色荧光时,说明该原生质体是由番茄细胞和马铃薯细胞融合而成的。(2)A、B分别是番茄原生质体和马铃薯原生质体,均含两个染色体组,所以D细胞含四个染色体组,由D培养成的杂种植株细胞中含有同源染色体,可育。其花粉经离体培养培育得到的植株属于单倍体。Ⅱ单克隆抗体由杂交瘤细胞合成并分泌,杂交瘤细胞由已免疫的B淋巴细胞(浆细胞)和骨髓瘤细胞诱导融合形成。获取浆细胞前,需向小鼠注射灭活的甲流病毒。符合要求的杂交瘤细胞既能分泌抗甲流病毒抗体又能无限增殖,获得杂交瘤细胞后,可在培养液中进行体外培养,也可注入小鼠腹腔内培养。
版权声明
声明:有的资源均来自网络转载,版权归原作者所有,如有侵犯到您的权益
请联系本站我们将配合处理!
