一项工程的施工现场,调来72名司机师傅参加挖土和运土工作,已知3名司机师傅挖出的土1名司机师傅恰好能开车全部运走,怎样分配这72名司机师傅才能使挖出的土能及时运走?可设派<img alt=&qu
一项工程的施工现场,调来72名司机师傅参加挖土和运土工作,已知3名司机师傅挖出的土1名司机师傅恰好能开车全部运走,怎样分配这72名司机师傅才能使挖出的土能及时运走?可设派
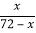
名司机师傅挖士,其他的人运土,列方程:
上述所列方程,正确的有___个
A. 1 B. 2 C. 3 D. 4
【答案】B
【解析】关键描述语是:“3人挖出的土1人恰好能全部运走”.等量关系为:挖土的工作量=运土的工作量,找到一个关系式,看变形有几个即可.
设挖土的人的工作量为1.
∵3人挖出的土1人恰好能全部运走,
∴运土的人工作量为3,
∴可列方程为:①
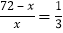
,②72﹣x=
,④
=3,故①②④正确,故正确的有3个.
故选:C.
版权声明
声明:有的资源均来自网络转载,版权归原作者所有,如有侵犯到您的权益
请联系本站我们将配合处理!
