已知△ABC的顶点A,B在椭圆x2+3y2=4上,C在直线l:y=x+2上,且AB∥l.
(Ⅰ)当AB边通过坐标原点O时,求AB的长及△ABC的面积;
(Ⅱ)当∠ABC=90°,且斜边AC的长最大时,求AB所在直线的方程.
【答案】解:(Ⅰ)因为AB∥l,且AB边通过点(0,0),所以AB所在直线的方程为y=x.
设A,B两点坐标分别为(x1 , y1),(x2 , y2).
由
得x=±1.
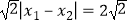
所以|AB|=
.
又因为AB边上的高h等于原点到直线l的距离.
所以h=
,S△ABC=
|AB|•h=2.
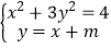
(Ⅱ)设AB所在直线的方程为y=x+m,
由
得4x2+6mx+3m2﹣4=0.
因为A,B在椭圆上,
所以△=﹣12m2+64>0.
设A,B两点坐标分别为(x1 , y1),(x2 , y2),
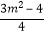
则x1+x2=﹣
,x1x2=
,
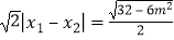
所以|AB|=
.
又因为BC的长等于点(0,m)到直线l的距离,即|BC|=
.
所以|AC|2=|AB|2+|BC|2=﹣m2﹣2m+10=﹣(m+1)2+11.
所以当m=﹣1时,AC边最长,(这时△=﹣12+64>0)
此时AB所在直线的方程为y=x﹣1.
【解析】(1)注意到直线AB和l平行,则斜率相等,得到直线AB的方程.再由以AB为底,计算三角形面积.
(2)由弦长公式算出AB,点到直线的距离算出BC,再根据勾股定理,得到AC的表达式,从而求出最大值.
版权声明
声明:有的资源均来自网络转载,版权归原作者所有,如有侵犯到您的权益
请联系本站我们将配合处理!
