一种电工工具由一个小灯泡L和一个定值电阻R并联而成,通过L、R的电流跟其两端电压的关系如图所示.由图可得定值电阻R的阻值为________Ω;当把这个工具接在电压为2V的电路两端,L、R并联的总电阻是
一种电工工具由一个小灯泡L和一个定值电阻R并联而成,通过L、R的电流跟其两端电压的关系如图所示.由图可得定值电阻R的阻值为________Ω;当把这个工具接在电压为2V的电路两端,L、R并联的总电阻是________Ω.

10 2. 5
【解析】如图,电阻R的电压为4V时,电流为0.4A,所以电阻为:
;
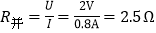
这个工具接在电压为2V的电路两端,由图得,灯的电流为0.6A,电阻R的电流为0.2A,则干路电流为:
,
L、R并联的总电阻是:
版权声明
声明:有的资源均来自网络转载,版权归原作者所有,如有侵犯到您的权益
请联系本站我们将配合处理!
