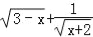
已知函数f(x)=<img alt="1" src="/tk/20210512/1620760225439.jpeg"/>的定义域为集合A,B={x
已知函数f(x)=
的定义域为集合A,B={x|x<a}.
(1)若A⊆B,求实数a的取值范围;
(2)若全集U={x|x≤4},a=﹣1,求∁UA及A∩(∁UB).
【答案】(1)a>3(2)CUA={x|x≤﹣2或3<x≤4},A∩(CUB)={x|﹣1≤x≤3}
【解析】(1)首先求出集合A,根据A⊆B,利用子集的概念,考虑集合端点值列式求得a的范围;(2)直接运用补集及交集的概念进行求解
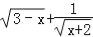
(1)要使函数f(x)=
有意义,则
,解得:﹣2<x≤3.
所以,A={x|﹣2<x≤3}.
又因为B={x|x<a},要使A⊆B,则a>3.

(2)因为U={x|x≤4},A={x|﹣2<x≤3},所以CUA={x|x≤﹣2或3<x≤4}.
又因为a=﹣1,所以B={x|x<﹣1}.
所以CUB={﹣1≤x≤4},所以,A∩(CUB)=A={x|﹣2<x≤3}∩{﹣1≤x≤4}={x|﹣1≤x≤3}.
版权声明
声明:有的资源均来自网络转载,版权归原作者所有,如有侵犯到您的权益
请联系本站我们将配合处理!
