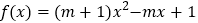
已知函数
.
(1)当
时,求不等式
的解集;
(2)若不等式
的解集为R,求实数
的取值范围.
(1)
(2)
.
(1)结合二次函数的性质即可得到f(x)>0的解集;(2)讨论m的取值,根据(m+1)x2﹣mx+1>0的解集为R可得m范围.
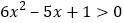
(1)当
时,
,
不等式
即为
,
解之得该不等式的解集为
.
(2)由题意得
的解集为R.
当
时,该不等式的解集为
,不符合题意,舍;
当
时,不符合题意,舍;
当
时,
,解之得
.
综上所述,实数
的取值范围是
.
版权声明
声明:有的资源均来自网络转载,版权归原作者所有,如有侵犯到您的权益
请联系本站我们将配合处理!
