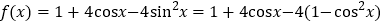
已知函数<img alt="1" src="/tk/20210512/1620752190816.png"/>,则<img alt="
已知函数
,则
的值域为______.
.
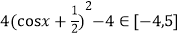
首先将函数解析式利用平方关系化为关于
的二次式,之后进行配方运算,结合题中所给的角的取值范围,求得
的取值范围,最后结合二次函数在某个闭区间上的值域求得结果.

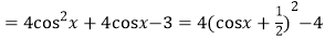
,
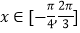
因为
,所以
,
所以
,故函数的值域为
.
版权声明
声明:有的资源均来自网络转载,版权归原作者所有,如有侵犯到您的权益
请联系本站我们将配合处理!
