已知函数 <img alt="1" src="/tk/20210512/1620752347320.png"/> ( <img alt=&qu
已知函数
(
是自然对数的底数).若
,则
的取值范围为( )
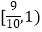
A.
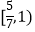
B.
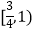
C.
D.
C
【解析】由f(m)=2ln
﹣f(n)得 f(m)+f(n)=1⇒
f(mn)=1﹣
=1﹣
,
又∵lnn+lnm+2=[(lnn+1)+(lnm+1)](
)=4+
≥4+4=8,
∴lnn+lnm≥6,f(mn)=1﹣
≥
,且m、n>e,∴lnn+lnm>0,f(mn)=1﹣
<1,∴
≤f(mn)<1,
所以答案是:C.
【考点精析】本题主要考查了基本不等式在最值问题中的应用的相关知识点,需要掌握用基本不等式求最值时(积定和最小,和定积最大),要注意满足三个条件“一正、二定、三相等”才能正确解答此题.
版权声明
声明:有的资源均来自网络转载,版权归原作者所有,如有侵犯到您的权益
请联系本站我们将配合处理!
