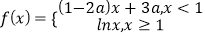
已知函数<img alt="1" src="/tk/20210512/1620761324552.png"/>的值域为<img alt=&qu
已知函数
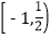
的值域为
,那么实数
的取值范围是_________

由题意得,当
时,函数
,
要使得函数
的值域为
,则
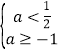
,
解得
,即实数
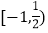
的取值范围是
.
版权声明
声明:有的资源均来自网络转载,版权归原作者所有,如有侵犯到您的权益
请联系本站我们将配合处理!
已知函数
的值域为
,那么实数
的取值范围是_________

由题意得,当
时,函数
,
要使得函数
的值域为
,则
,
解得
,即实数
的取值范围是
.
声明:有的资源均来自网络转载,版权归原作者所有,如有侵犯到您的权益
请联系本站我们将配合处理!