已知抛物线<img alt="1" src="/tk/20210512/1620761611404.png"/>的焦点为F,点<img alt
已知抛物线
的焦点为F,点
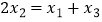
,
在抛物线上,且
, 则有( )
A.
B.
C.
D.
C
【解析】点
,
在抛物线上,所以它们到焦点的距离等于到准线
的距离,又
, 所以
, 即
.选C
【考点精析】解答此题的关键在于理解抛物线的定义的相关知识,掌握平面内与一个定点
和一条定直线
的距离相等的点的轨迹称为抛物线.定点
称为抛物线的焦点,定直线
称为抛物线的准线.
版权声明
声明:有的资源均来自网络转载,版权归原作者所有,如有侵犯到您的权益
请联系本站我们将配合处理!
