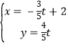
已知曲线C的极坐标方程是ρ=2sinθ,直线l的参数方程是<img alt="1" src="/tk/20210512/1620750804584.png"
已知曲线C的极坐标方程是ρ=2sinθ,直线l的参数方程是
(t为参数)
(Ⅰ)将曲线C的极坐标方程化为直角坐标方程;
(Ⅱ)设直线l与x轴的交点是M,N是曲线C上一动点,求MN的最大值.
【答案】解:(Ⅰ)曲线C的极坐标方程可化为ρ2=2ρsinθ,
又x2+y2=ρ2 , x=ρcosθ,y=ρsinθ,
∴曲线C的直角坐标方程为x2+y2﹣2y=0.
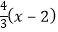
(Ⅱ)将直线l的参数方程化为直角坐标方程,得y=﹣
.
令y=0,得x=2,即M点的坐标为(2,0).
又曲线C为圆,圆C的圆心坐标为C(0,1),半径r=1,
∵直线l与x轴的交点是M,∴M(2,0),
∴|MC|=
=
,
∵N是曲线C上一动点,∴|MN|≤|MC|+r=
+1.
故MN的最大值为
+1
(Ⅰ)曲线C的极坐标方程可化为ρ2=2ρsinθ,由此能求出曲线C的直角坐标方程.
(Ⅱ)将直线l的参数方程化为直角坐标方程,求出M点的坐标,从而得到|MC|,再由|MN|≤|MC|+r,能求出MN的最大值.
版权声明
声明:有的资源均来自网络转载,版权归原作者所有,如有侵犯到您的权益
请联系本站我们将配合处理!
