已知双曲线<img alt="1" src="/tk/20210512/1620751996902.png"/>﹣<img alt="
已知双曲线
﹣
=1(a>0,b>0)的一条渐近线方程是y=
x,它的一个焦点在抛物线y2=48x的准线上,则双曲线的方程是______

解:因为抛物线y2=48x的准线方程为x=﹣12,
则由题意知,点F(﹣12,0)是双曲线的左焦点,
所以a2+b2=c2=144,
又双曲线的一条渐近线方程是y=
x,
所以
=
,
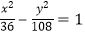
解得a2=36,b2=108,
所以双曲线的方程为
.
所以答案是:
.
版权声明
声明:有的资源均来自网络转载,版权归原作者所有,如有侵犯到您的权益
请联系本站我们将配合处理!
