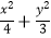
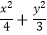
已知椭圆M:<img alt="1" src="/tk/20210512/1620750801742.png"/>=1,点F1 , C分别是椭圆M的
已知椭圆M:
=1,点F1 , C分别是椭圆M的左焦点、左顶点,过点F1的直线l(不与x轴重合)交M于A,B两点.
求M的离心率及短轴长;
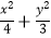
【答案】解:由
=1,得:a=2,b=
,
∴椭圆M的短轴长为2
,
∴c=
,
∴e=
,即M的离心率为
;
通过椭圆M方程:
=1,直接计算即可。
版权声明
声明:有的资源均来自网络转载,版权归原作者所有,如有侵犯到您的权益
请联系本站我们将配合处理!
