已知
为虚数单位
(1)计算:
;
(2)已知
,求复数
.
(1)13+13i;(2)1-i.
【解析】【试题分析】(1)根据复数乘法运算公式计算出结果.(2)将原方程变为
,在将分母实数化来求得
的值.
【试题解析】
(1)原式=
(2)因为
所以
版权声明
声明:有的资源均来自网络转载,版权归原作者所有,如有侵犯到您的权益
请联系本站我们将配合处理!
下一篇 :返回列表
已知
为虚数单位
(1)计算:
;
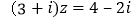
(2)已知
,求复数
.
(1)13+13i;(2)1-i.
【解析】【试题分析】(1)根据复数乘法运算公式计算出结果.(2)将原方程变为
,在将分母实数化来求得
的值.
【试题解析】
(1)原式=
(2)因为
所以
声明:有的资源均来自网络转载,版权归原作者所有,如有侵犯到您的权益
请联系本站我们将配合处理!