已知向量<img alt="1" src="/tk/20210512/1620761160966.png"/>与<img alt="
已知向量
与
满足
,则
则
与
的夹角为________。

由
得
版权声明
声明:有的资源均来自网络转载,版权归原作者所有,如有侵犯到您的权益
请联系本站我们将配合处理!
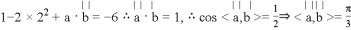
已知向量
与
满足
,则
则
与
的夹角为________。

由
得
声明:有的资源均来自网络转载,版权归原作者所有,如有侵犯到您的权益
请联系本站我们将配合处理!