已知圆的极坐标方程为:ρ2﹣4
ρcos(
-
)+6=0.
(Ⅰ)将极坐标方程化为普通方程;并选择恰当的参数写出它的参数方程;
(Ⅱ)若点P(x,y)在该圆上,求x+y的最大值和最小值.
【答案】解:(Ⅰ)ρ2﹣4
ρcos(
-
)+6=0展开化为ρ2﹣
+6=0,
把
代入可得x2+y2﹣4x﹣4y+6=0,配方为(x﹣2)2+(y﹣2)2=2,
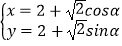
可得圆的参数方程为
.
(Ⅱ)由圆的参数方程可得:
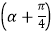
x+y=4+2sin
,
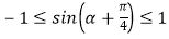
∵
,
∴x+y最大值为6,最小值为2.
【解析】(Ⅰ)ρ2﹣4
ρcos(
-
)+6=0展开化为ρ2﹣
+6=0,把
代入可得圆的直角坐标方程,配方利用sin2α+cos2α=1可得圆的参数方程.
(Ⅱ)由圆的参数方程可得:x+y=4+2sin
, l利用正弦函数的单调性即可得出最值.
版权声明
声明:有的资源均来自网络转载,版权归原作者所有,如有侵犯到您的权益
请联系本站我们将配合处理!
下一篇 :返回列表
