在等差数列
中,已知
,则

A. 9 B. 8 C. 81 D. 63
【答案】A
【解析】根据等差数列的下标性质,可得
,从而可得结果.
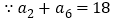
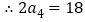
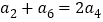
由等差数列的性质得
,
,
,
得
,故选A.
版权声明
声明:有的资源均来自网络转载,版权归原作者所有,如有侵犯到您的权益
请联系本站我们将配合处理!
在等差数列
中,已知
,则

A. 9 B. 8 C. 81 D. 63
【答案】A
【解析】根据等差数列的下标性质,可得
,从而可得结果.
由等差数列的性质得
,
,
,
得
,故选A.
声明:有的资源均来自网络转载,版权归原作者所有,如有侵犯到您的权益
请联系本站我们将配合处理!