在<img alt="1" src="/tk/20210511/1620712810900.png"/>中,角<img alt="2
在
中,角
的平分线长
,角
,
,则
__________.
.
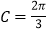
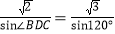
设角B的平分线为
,由正弦定理得
,即
,得
,
,
,
.
即答案为
.
版权声明
声明:有的资源均来自网络转载,版权归原作者所有,如有侵犯到您的权益
请联系本站我们将配合处理!
在
中,角
的平分线长
,角
,
,则
__________.
.
设角B的平分线为
,由正弦定理得
,即
,得
,
,
,
.
即答案为
.
声明:有的资源均来自网络转载,版权归原作者所有,如有侵犯到您的权益
请联系本站我们将配合处理!