质量为<img alt="1" src="/tk/20210512/1620759090020.png"/>的小球用长为<img alt=&q
质量为
的小球用长为
的细线悬挂在
点,
点距地面高度为
,如果使小球绕
轴在水平面内做圆周运动,若细线受到拉力为
就会被拉断。(取
)

(1)当小球的角速度为多大时细线将被拉断?
(2)求细线被拉断后小球落地点与悬点的水平距离。
【答案】①
②0.6m
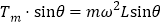
(1)由牛顿第二定律可得:
解得: 
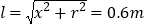
(2)由 

细线断后小球做平抛运动


小球的落地点到悬点的水平距离:
版权声明
声明:有的资源均来自网络转载,版权归原作者所有,如有侵犯到您的权益
请联系本站我们将配合处理!
