在平面直角坐标系xoy中,以O为极点,x轴的正半轴为极轴的极坐标系中,直线l的极坐标方程为θ=<img alt="1" src="/tk/20210512/1620
在平面直角坐标系xoy中,以O为极点,x轴的正半轴为极轴的极坐标系中,直线l的极坐标方程为θ=
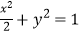
, 曲线C的参数方程为
.
(1)写出直线l与曲线C的直角坐标方程;
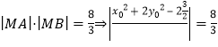
(2)过点M平行于直线l1的直线与曲线C交于A、B两点,若|MA|•|MB|=
, 求点M轨迹的直角坐标方程.
解:(1)直线l的极坐标方程为θ=
,所以直线斜率为1,直线l:y=x;
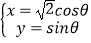
曲线C的参数方程为
.消去参数θ,
可得曲线C:
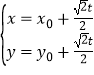
(2)设点M(x0 , y0)及过点M的直线为l:
由直线l1与曲线C相交可得:
,即:
,
x2+2y2=6表示一椭圆
取y=x+m代入
得:3x2+4mx+2m2﹣2=0
由△≥0得
故点M的轨迹是椭圆x2+2y2=6夹在平行直线y=x
之间的两段弧
(1)利用极坐标与直角坐标方程的互化,直接写出直线l的普通方程,消去参数可得曲线C的直角坐标方程;
(2)设点M(x0 , y0)以及平行于直线l1的直线参数方程,直线l1与曲线C联立方程组,通过|MA|•|MB|=
, 即可求点M轨迹的直角坐标方程.通过两个交点推出轨迹方程的范围,
版权声明
声明:有的资源均来自网络转载,版权归原作者所有,如有侵犯到您的权益
请联系本站我们将配合处理!
