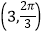
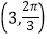
在直角坐标平面内,以坐标原点O为极点,x轴的非负半轴为极轴建立极坐标系.已知点A、B的极坐标分别为<img alt="1" src="/tk/20210512/16
在直角坐标平面内,以坐标原点O为极点,x轴的非负半轴为极轴建立极坐标系.已知点A、B的极坐标分别为
、
, 曲线C的参数方程为
(
为参数).
(Ⅰ)求直线AB的直角坐标方程;
(Ⅱ)若直线AB和曲线C只有一个交点,求r的值.
【答案】解:(Ⅰ)∵点A、B的极坐标分别为
、
,
∴点A、B的直角坐标分别为
、
,
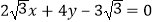
∴直线AB的直角坐标方程为
;
(Ⅱ)由曲线C的参数方程
(
为参数),化为普通方程为x2+y2=r2 ,
∵直线AB和曲线C只有一个交点,
∴半径r=
=
.
(Ⅰ)由x=ρcosθ,y=ρsinθ,可将A,B化为直角坐标,再由直线方程的形式,即可得到AB的方程;
(Ⅱ)运用同角的平方关系,可将曲线C化为普通方程即为圆,再由直线和圆相切:d=r,即可得到半径r.
版权声明
声明:有的资源均来自网络转载,版权归原作者所有,如有侵犯到您的权益
请联系本站我们将配合处理!
