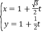
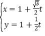
在直角坐标系xOy中,直线<img alt="1" src="/tk/20210511/1620712029958.png"/>经过点<img
在直角坐标系xOy中,直线
经过点
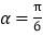
,倾斜角
,以坐标原点为极点,x轴的正半轴为极轴建立极坐标系,曲线
.
(Ⅰ)求曲线C的直角坐标方程并写出直线l的参数方程;
(Ⅱ)直线l与曲线C的交点为A,B,求点P到A、B两点的距离之积.
【答案】(1)曲线C的直角坐标方程为
,l的参数方程为
(t为参数);
(2)
.
(1)利用极坐标与直角坐标的互化公式,即可求得曲线C的直角坐标方程,再根据直线参数方程的形式,即可求解直线的参数方程;
(2)由(1)将直线的参数方程代入曲线的直角坐标方程,利用参数的几何意义,可求解.
(Ⅰ)因为
,
所以
,即
直线l的参数方程为
(t为参数)
(Ⅱ)把
,
代入圆的直角坐标方程
得
设
,
是方程的两根,则
,
由参数t的几何意义,
得
即点P到A、B两点之间的距离之积为3.
版权声明
声明:有的资源均来自网络转载,版权归原作者所有,如有侵犯到您的权益
请联系本站我们将配合处理!
上一篇 : 以下关于职业选择的说法中,正确的是( )。
下一篇 :返回列表
