(1)某实验小组在 “测定金属电阻率”的实验过程中,正确操作获得金属丝的直径以及电流表、电压表的读数如下图所示,(已知电流表选0.6A量程,电压表选3V量程),则它们的读数值依次是__________
(1)某实验小组在 “测定金属电阻率”的实验过程中,正确操作获得金属丝的直径以及电流表、电压表的读数如下图所示,(已知电流表选0.6A量程,电压表选3V量程),则它们的读数值依次是__________mm、___________A、__________V。



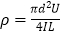
(2)已知实验中所用的电流表内阻约几欧,电压表内阻约20kΩ,则本实验电路应当采用右图中的_______(填“A”或“B”),用此电路测量的金属丝电阻比真实值偏 _____(选填“大”或“小”)。
(3)若测得电流为I、电压为U,金属丝的长度为L,直径为d,则该金属丝的电阻率ρ=____(用题中字母代号表示)。
【答案】(1)0.5260.4202.25(2)A小(3)
(1)螺旋测微器的读数为:d=0.5mm+2.6×0.01mm=0.526mm;
电流表的读数为:I=0.420A;
电压表的读数为:U=2.25V;
(2)根据题意,待测电阻阻值远小于电压表内阻,故电流表应用外接法,故电路图A为应当采用的最佳电路.此电路中,由于电压表的分流作用,故测量的金属丝电阻比真实值偏小;
(3)根据欧姆定律
,则金属丝电阻为:
解得:
版权声明
声明:有的资源均来自网络转载,版权归原作者所有,如有侵犯到您的权益
请联系本站我们将配合处理!
