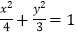
过椭圆<img alt="1" src="/tk/20210512/1620752271709.png"/>的左焦点F1作直线l交椭圆于A,B两点,
过椭圆
的左焦点F1作直线l交椭圆于A,B两点,则△ABF2(其中F2为椭圆的右焦点)的周长为_______.
8
【解析】由椭圆的定义可得:|AF1|+|AF2|=|BF1|+|BF2|=2a即可得到三角形的周长.
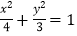
解:由椭圆
可得a=2;
椭圆的定义可得:|AF1|+|AF2|=|BF1|+|BF2|=2a=4.
∴△ABF2的周长=|AB|+|AF2|+|BF2|=|AF1|+|BF1|+|AF2|+|BF2|=8.
故答案为:8.
版权声明
声明:有的资源均来自网络转载,版权归原作者所有,如有侵犯到您的权益
请联系本站我们将配合处理!
