已知函数f(x)=logkx(k为常数,k>0且k≠1),且数列{f(an)}是首项为4,公差为2的等差数列.
(1)求证:数列{an}是等比数列;
(2)若bn=an+f(an),当k=
时,求数列{bn}的前n项和Sn的最小值;
(3)若cn=anlgan , 问是否存在实数k,使得{cn}是递增数列?若存在,求出k的范围;若不存在,说明理由.
【答案】解:(1)证明:由题意可得f(an)=4+2(n﹣1)=2n+2,
即logkan=2n+2,
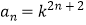
∴
,
∴
.
∵常数k>0且k≠1,∴k2为非零常数,
∴数列{an}是以k4为首项,k2为公比的等比数列;
(2)当k=
时,
,f(an)=2n+2,
所以
,
因为n≥1,所以,
是递增数列,
因而最小值为S1=1+3+
﹣
=
.
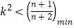
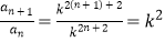
(3)由(1)知,
,
要使cn<cn+1对一切n∈N*成立,
即(n+1)lgk<(n+2)•k2•lgk对一切n∈N*成立.
当k>1时,lgk>0,n+1<(n+2)k2对一切n∈N*恒成立;
当0<k<1时,lgk<0,n+1>(n+2)k2对一切n∈N*恒成立,
只需
,
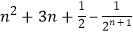
∵
单调递增,
∴当n=1时,
.
∴
,且0<k<1,∴
.
综上所述,存在实数
满足条件.
(1)运用等差数列的通项公式和对数的定义,可得an=k2n+2 , 再由等比数列的定义即可得证;
(2)求得an , f(an),再由等差数列和等比数列的求和公式,运用单调性即可得到最小值;
(3)由题意可得(n+1)lgk<(n+2)•k2•lgk对一切n∈N*成立.讨论k>1,0<k<1,运用数列的单调性即可得到所求k的范围.
版权声明
声明:有的资源均来自网络转载,版权归原作者所有,如有侵犯到您的权益
请联系本站我们将配合处理!
