数列{an}的前n项和记为Sn若对任意的正整数n,总存在正整数m,使得Sn=am , 则称{an}是“H数列”.
(1)若数列{an}的通项公式
, 判断{an}是否为“H数列”;
(2)等差数列{an},公差d≠0,a1=2d,求证:{an}是“H数列”
【答案】解:(1)n=1,a1=S1=2,
当n≥2时,
∴2n﹣1是奇数,2m是偶数;
∴2n﹣1≠2m
∴{an}不是“H数列”
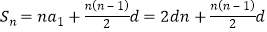
(2)
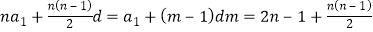
对任意n∈N* , 存在m∈N*使Sn=am , 即
n,n﹣1是一奇一偶,∴m一定是自然数;
【解析】(1)通过n=1,a1=S1=2,然后求解数列的Sn , 利用新定义判断即可.
(2)求出Sn , 对任意n∈N* , 存在m∈N*使Sn=am , 利用新定义判断即可
版权声明
声明:有的资源均来自网络转载,版权归原作者所有,如有侵犯到您的权益
请联系本站我们将配合处理!
