已知椭圆C:<img alt="1" src="/tk/20210512/1620750799779.png"/>+<img alt=&quo
已知椭圆C:
+
=1(a>b>0)的离心率为
, 且短轴长为6.求椭圆的标准方程;
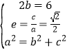
解:∵椭圆C:
+
=1(a>b>0)的离心率为
,且短轴长为6,
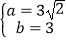
∴
,解得,
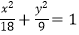
∴椭圆的标准方程为
=1.
由椭圆离心率及短轴长列出方程组,求出a,b,由此能求出椭圆的标准方程.
【考点精析】掌握椭圆的标准方程是解答本题的根本,需要知道椭圆标准方程焦点在x轴:
,焦点在y轴:
.
版权声明
声明:有的资源均来自网络转载,版权归原作者所有,如有侵犯到您的权益
请联系本站我们将配合处理!
